8 typical transformer protection schemes with correctly selected relays

This article shows application hints for typical transformer protection schemes where SIPROTEC 4 relays are used. Let’s see the most typical transformer applications and their protection schemes: Small transformer infeed Large or important... Read more
By EEE, ADBU

Generation of high voltages in the lab (AC/DC, switching and lightning impulse)

Benjamin Franklin – The man who dared to fly his kite in a thunder storm! In this technical article laboratory tests and test equipment needed to assess the performance of insulating materials... Read more
By EEE, ADBU

Generator stability and what happens when it’s out of step

Generators can really be described as the reason for being a power station. The operation of the turbine-generator system is second in criticality only to the operation of the nuclear reactor and... Read more
By EEE, ADBU

Direct Online Starter Or DOL Starter

Direct Online Starter

In the previous post we have learned about Star Delta Starter. In this post we are going to learn about Direct Online Starter or DOL starter.

Why We Use Starter?

A starter is generally used to limit the high starting currents. An induction motor has high starting currents which may cause the winding's to damage. In order to prevent this we use starters while starting an induction motor. Direct online starter is one of the simplest motor starter which is used for starting the induction motor. This starter is generally used for starting of cage type induction motors.

Note: Starter action will be only at the start of induction motor i.e, until it gains a required amount of speed (generally until it  reaches 85% of synchronous speed) after that it will be isolated from the circuit automatically by few internal actions.

Principle Of DOL Starter:

1.We start by closing the contactor and by applying full voltage across the motor winding's. This causes the motor to draw very high amount of staring currents for a short duration.

2. Now the iron coil will get magnetized and the current will be limited to locked rotor current of the motor. Now the motor will develop locked rotor torque and accelerates to achieve full speed.

3. While it is accelerating the current will decrease slowly. Clear drop of current can be seen only after motor reaches 85% of synchronous speed.

4. Note that starting current curve depends only upon terminal voltage and design of motor, it doesn't depend upon the load applied on the motor.

5. Motor load only affects the time taken for the motor to accelerate to full speed but not magnitude of  starting current.

6. Only if the torque developed by the induction motor with DOL starter exceeds the load torque then only induction motor accelerates to full speed if not the induction motor must be replaced with a suitable capacity induction motor which can develop torque more than the load torque.

Key point: DOL starter has maximum starting current and maximum starting torque.

Main Parts Of DOL starter:

1. Contactors and coil.

2. Over load relay.

let us see use of these parts in detail now.

Contactors & Coils: 

The contactors that we are using are electromagnetic contactors. With the help of electromagnetic energy they can make or break the circuit.

It consists of a coil wound on a iron core. So when the electrical energy passes through this coil the coil makes the iron gets magnetized as a result it attracts the armature and hence the circuit is made that means a closed circuit is formed. When the current interrupts the iron core gets demagnetized as a result it releases the armature this breaks the circuit. The contactor has three main normally open(NO) contacts and auxiliary contact which has lower power ratings and it can be of normally open(NO) or normally closed(NC) type.

Over Load Relay:

From the name it suggests that it is used for over load protection. Generally over load relays have inverse-trip-time characteristics. It cannot provide protection against short circuit currents it only provides protection when the high currents are drawn for a longer period. This is the main advantage of this over load relay over fuses. As we have high inrush currents at the start of motor for a short period of time if we use a fuse it melts every time when we start a motor but this shouldn't happen, moreover if we use high capacity fuse to prevent this it cannot sense the currents which can damage the motor winding's. 
     
Unlike fuse over load relay is useful in this case since it permits high currents only for short time and high inrush currents at start of motor exists only for shorter duration the over load relay doesn't trip at the start. But later on when the current drawn exceeds the full load current for a longer duration then the over load relay trips the circuit. This means over load relay senses and reacts to the harmful over load currents only. We can classify over load relays based on the characters that are used to detect the over load conditions.

Types Of Over Load Relays:

There are 3 types of over load relays. They are as follows:

1. Thermal Relay:  

Based on the rising temperature caused by over load currents the thermal relay trips and breaks the circuit. This can be further classified into two types namely melting alloy and bimetallic.

2. Magnetic Relay:

When the current exceeds a certain limit the coil gets magnetized which helps to trip the relay and break the circuit. It will not be affected by temperature.

3. Electronic Relay:

These are very ideal relays and can trip the circuit precisely and in fast manner. They can be installed easily.

Working Of DOL Starter:

Now let us discuss the working of DOL starter or direct online starter in detail.

We can understand the working of DOL starter clearly by seeing the circuit diagram of DOL starter.

DOL Starter Circuit Diagram:



1. To switch on the induction motor first press the start push button,S1. Now the contactor gets energized from two lines L1,  L2 .

2. As a result three main contacts and auxiliary contact gets closed and ab is short circuited. So now the motor gets connected across the main supply.

3. Start button goes back due to spring action but the contactor gets energized through ab.

4. If the stop button is pressed supply through contactor is stopped and as a result the coil gets demagnetized and the main contacts and auxiliary contacts are opened as a result induction motor is disconnected from main supply.

5. Now to start the motor again we need to push the start push button.

How Under Voltage Protection Is Done?     

When the voltage falls  below a certain level or when there is fail in providing supply the coil of contactor gets de-energized as a result supply to induction motor stops. In this way under voltage protection is done.

How Over Load Protection Is Done?

When there is over load the over load coils in the circuit gets energized and the normally closed coil D will change to open position, contactor coil gets de-energized which causes the supply to  induction motor to stop. In this way induction motor winding's are saved from burning or over heating due to over loads.

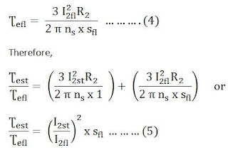
Relation Between Starting Torque And Full Load Torque Of Induction Motor:

Ist be the starting current drawn from the main supply per phase.
Ifl is the full load current drawn from the main supply per phase.
Ʈest is the starting torque.
Sfl is the slip at full load.

we know,
 
 rotor copper loss = S x rotor input  (S means slip)


At start, S = 1, I2 = I2st, Ʈe = Ʈest. 
   
      So we get,
At full loads = sfl, I2 = I2fl, Ʈe = Ʈefl



If we neglect no load current, we have


Equating 6 and 7 equations we get,

Equating 5 and 8 equations we get,
If V1 is the stator voltage per phase equivalent

Ze10 is the standstill impedance per phase of the motor referred to the stator. 

Then the current at the starting is given by the equation as shown.

Starting current is equal to the short circuit current.
 
From equation 9 and 10 we get,
 This the relation between start torque and full load torque of induction motor.

Advantages Of DOL Starter:

1. It is the simplest form of starter.

2. It is more economical starter.

3. It gives high starting torque.

4. Control circuit is simple and can be easily troubleshooted.

5.Occupies less space.

6. Easy to find fault.

Disadvantages Of DOL Starter:

1. High starting currents.

2. High starting currents of motor causes the large voltage dip or drop of electrical supply which affects the other appliances connected to the supply.

3. High starting torque required by the load may cause increasing mechanical stresses on motor mechanical parts as well as the loads.

4. Not suitable for motors having higher ratings( above  10 KW).

In this post we have learnt about the working of DOL starter or direct online starter.

To download this post on DOL starter or direct online starter as PDF click here.
















  










May 26, 2017 at 10:53PM by EEE, ADBU

Recommended maintenance practice for electric motors and generators

Maintenance practice recommendations for electric motors and generators: Induction motors Synchronous machines Notes Motors are inherently highly reliable, requiring little routine maintenance. This remains true for most duties but may not be... Read more
By EEE, ADBU

Selecting the suitable frequency converter and motor for these 3 applications

The motor is selected according to the basic information about the process. Speed range, torque curves, ventilation method and motor loadability give guidelines for motor selection. Often it is worth comparing different... Read more
By EEE, ADBU

4 medium voltage switching equipment for primary substation installations

This technical article covers the medium voltage switching equipment intended mainly for primary substation installations. The target is to give some basic knowledge and difference between 4 main piece of MV switching... Read more
By EEE, ADBU

Troubleshooting of a telemetry system (from RTU to the SCADA computer facilities)

This technical article reviews certain methodologies that may be followed for effective troubleshooting of a telemetry system from the digital or analog field input/output at the RTU to the computer facilities at... Read more
By EEE, ADBU

How to calculate number of steps & reactive power of the capacitor banks

Depending on the size of a compensation unit, it is assembled with capacitors of equal size (in bigger units) or of different size. A unit with a total reactive power of, for example, 300... Read more
By EEE, ADBU

Auto-reclose schemes for re-energising the line after a fault trip

Faults on overhead lines fall into one of three categories: transient, semi-permanent and permanent. 80-90% of faults on any overhead line network are transient in nature. The remaining 10%-20% of faults are either semi-permanent... Read more
By EEE, ADBU

Current sensors as the eyes of RCD and tips for their correct installation

All residual current devices are made up of at least two components. First component act as the eyes of RCD – sensors – must be able to supply an electrical signal which is useful when... Read more
By EEE, ADBU

Applications of Synchronous Motors || Advantages/Disadvantages

In our electrical edition already we have discussed  synchronous motor working principle ,why synchronous motor is not self starting? etc.The most important thing is why mostly we use synchronous motors over induction motors.Here we have the reasons..!


Synchronous motor always runs at constant synchronous speed irrespective of the load and variable power factor operation. As seen earlier its power factor can be controlled by controlling its excitation. For over-excitation its power factor is leading in nature, which is very important from the power factor correction point of view.

Applications of Synchronous Motors

We use synchronous motors where we need almost constant speed in the operation.So applications of synchronous motors list goes like this, we use them in,

  • Machine tools,
  • Motor generator sets,
  • Synchronous clocks,
  • Stroboscopic devices,
  • Timing devices,
  • Belt driven reciprocating compressors,
  • Fans and blowers,
  • Centrifugal pumps, 
  • Vacuum pumps,
  • Pulp grinders, 
  • Textile mills,
  • Paper mills line shafts, 
  • Rolling mills,
  • Cement mills etc.

Some more uses of  synchronous motors:

Not only for the above purposes we also use synchronous motors for power factor correction.You might have known about synchronous condenser[If not read here].Also used as phase advancers and phase modifiers for voltage regulation of the transmission lines. This is possible because the excitation of the synchronous motor can be adjusted as per the requirement.

Disadvantages of synchronous motor :

The disadvantages of synchronous motor are their higher cost, necessity of frequent maintenance and a need of d.c. excitation source, auxiliary device or additional winding provision to make it self starting. Overall their initial cost is very high.


May 10, 2017 at 07:09PM by EEE, ADBU

How to recognize harmonics symptoms – What to look for and where to look?

Finding harmonics problem is relatively easy once you know what to look for and where to look. Harmonics symptoms are usually anything but subtle. This technical article provides some basic pointers on how to... Read more
By EEE, ADBU

Setting of overload, Short circuit & Ground Fault Protection of MCCB (PART-1)

Introduction:

  • There are various types of protections setting in MCCB, which define various protection of Electrical Network.
  • In MCCB we can set most of protection are adjustable according to Electrical Load profile.
  • The main adjustable Setting in MCCB are
  • Over current Setting
  • Short Circuit Setting
  • Ground Fault Setting

Meaning of each selector switches of MCCB

  • As Per Standard IEC 60947-2 defines the names of the selector switches.
Setting Adjustment Protection For
Ir Long time Pick up Current Setting (or thermal Setting). This is a multiplication coefficient of the rating of the device. (Ir=xIn) Protection against overloads
tr Long time delay Setting in seconds, enabling in particular the starting current of a motor to be tolerated. (tr=Sec) Protection against overloads
Im / Isd Short time (Magnetic Setting). This is a multiplier of the Ir setting, often 1.5 to 10 times the Ir current (im=xIr) Protection against short circuits.
tm / tsd Short time delay Setting, enabling in particular the discrimination (time) to be increased with downstream feeders and the magnetization peaks of a transformer or a motor to be tolerated. It is recommended that the I²t selector switch is set to the ON position.(tm=Sec) Protection against short circuits.
Ii Instantaneous current Setting. Protecting the installation against strong short circuits (dead short circuits) by instantaneous tripping without Time Delay and self-protection of the circuit breaker.

The Ii > Isd.

Protection against Dead Short circuits.
Ig for monitoring the earth fault current circulating in the Phase and Earth conductor in TNS systems Earth protection
tg Earth protection time delay Earth protection
I delta n Adjustment of the sensitivity of the earth leakage protection Earth leakage protection
delta t Earth leakage protection delay. Earth leakage protection

  Setting of each Protection switch of MCCB

 (1) For Low level Fault / Over Current Protection (Thermal Setting):

  (A) Long-Pickup Current Setting (Ir):

  • It is determines the continuous ampere rating of the breaker.
  • Long time protection is time-dependent.
  • Long Pickup (Ir) value (multiplied by the ampere rating (In) of MCCB) sets the maximum current level which the circuit breaker will carry continuously.
  • If MCB is 1000A Rating but Full Load current is 800A than MCCB Rating can be changed from 1000A to 800A by setting it 0.8, Now Ir=0.8XIn =0.8×1000=800Amp
  • If the current exceeds this value for longer than the circuit breaker will trip at the set delay time.
  • Long time protection is inverse time type (with I2t constant)
  • The long-time pickup (Ir) is adjustable from 4 to 1.0 times the sensor plug rating (In)
  • Standard Practice for Setting:
  • No trip for a current below 105% of Ir
  • Trip in less than two hours for a current equal to for
  • 120% of Ir for an electronic trip unit and for
  • 130% of Ir for a thermal-magnetic trip unit
  • For a higher fault current, the trip time is inversely proportional to the fault current value.

(B) Long-Time delay Setting (tr):

  • Long time delay (tr) sets length of time that the circuit breaker will carry a sustained overload before tripping.
  • The delay bands are labeled in seconds of over current at six times the ampere rating.
  • Long-time delay is an inverse time characteristic in that the tripping time decreases as the current increases.
  • The long-time delay (tr) sets the length of the time that the circuit breaker will carry an over current (below the short-time or instantaneous pickup current level) before tripping.
  • The Long time delay can be set to I2t On and I2t OFF settings.
  • (A) I2t Response:I2t Out ,For coordination with other circuit breakers with electronic trip devices and for coordination with thermal-magnetic circuit breakers.
  • (B) I2t Response: I2t In ,For coordination with fuses and upstream transformer

 

 

 

 

 




May 09, 2017 at 11:08AM

Sizing calculations for 20/3.3 kV, 12.5 MVA transformer feeder cable

Typical calculations for a 20kV transformer feeder cable are presented below. After correct cable voltage classification the following considerations apply: Current carrying capacity Short circuit rating Voltage drop Earth loop impedance Consider a 20/3.3... Read more
By EEE, ADBU

Dangerous magnetic field exposure near transformer substation in the building

Transformer substations located close to the living areas could induce high long-term exposures to extremely low frequency magnetic fields of nearby inhabitants. Some of the researches have shown increased risk to childhood leukemia associated... Read more
By EEE, ADBU

The attached rod technique – reliable and handy ground testing method

Fall-of-potential testing is extremely reliable, highly accurate, conforms to IEEE 81 and gives the operator complete control over the set-up. Unfortunately, it is exceedingly time consuming and labor intensive, and requires that the individual... Read more
By EEE, ADBU

Protection of capacitor banks by fuses (during energization and operation)

Stress specific to the protection of capacitor banks by fuses, which is addressed in IEC 60549, can be divided into two types: Stress during bank energization (the inrush current, which is very high, can cause the... Read more
By EEE, ADBU